单元全练全测 - 第二单元全练全测
第一题

第二题
1.× 2.√ 3.× 4.√ 5.×
第三题
1.A 2.C 3.B 4.A
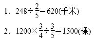
第四题

第五题

第六题

3.
分析:根据题意,先求出
km的人行道一半的长度,再求平均每天铺多少千米。
解答:
分步列式:

答:平均每天铺
km。…………(1分)
综合算式:

答:平均每天铺
km。…………(1分)
4.(答案不唯一)剩下的要几天读完


1.× 2.√ 3.× 4.√ 5.×
1.A 2.C 3.B 4.A



3.
分析:根据题意,先求出
km的人行道一半的长度,再求平均每天铺多少千米。
解答:
分步列式:

答:平均每天铺
km。…………(1分)
综合算式:

答:平均每天铺
km。…………(1分)
4.(答案不唯一)剩下的要几天读完

小学教材全练