2.已知比一个数多(或少)几分之几的数是多少,求这个数 - 精版答案
第1题
(1)白菜的总质量 白菜的总质量
(2)8 5 3 20 160

第2题

第3题
960÷(1-20%)=1200(名)
第4题

第5题
(1)×
(2)√
(3)×
第6题
(1)F (2)A (3)C (4)B (5)D (6)E
第7题
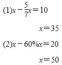
解:设熊猫的体重是x千克。
x-80%x=24
x=120
第8题

第9题
分析:
由题意可知,小明第一天看了全书的
,第二天看了全书的
,则第一天比第二天多看了全书的
-
=
。第一天比第二天多看了10页,即这本故事书一共有
。
解答:
分步列式:

答:这本故事书一共有200页。…………(1分)
综合列式:

答:这本故事书一共有200页。…………(1分)
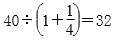
第10题
分析:
根据题意可知,第一天加工了40个零件,第一天比第二天多加工了
,则第二天加工了
(个)零件,又知第二天正好加工了这批零件的
,则这批零件有32÷
=160(个)。
解答:
(1)÷ ÷ +……………(3分)
(2)
(个)……………(3分)
32÷
=160(个)……………(3分)
答:这批零件共有160个。…………(1分)
(3)
(个)……………(3分)
50÷
=250(个)……………(3分)
答:这批零件有250个。……………(2分)