1.求比一个数多(或少)几分之几的数是多少 - 精版答案
第1题

第2题
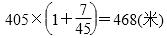
上午卖了多少台
一天卖了多少台
上午比下午多卖了多少台
第3题
(1)B (2)B (3)C (4)B
第4题

第5题

第6题

第7题

第8题
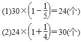
分析:有120本科技书,故事书的本数比科技书多
,则故事书有
;连环画的本数比故事书少
,则连环画有
解答:
分步列式:

答:连环画有100本。……………(2分)
综合列式:

答:连环画有100本。……………(1分)
第9题
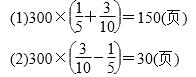
分析:
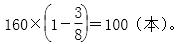
450瓶饮料,第一天售出30%,余下450×(1-30%)=315(瓶)。第二天售出余下的80%,求第二天售出多少瓶,就是求315瓶的80%是多少瓶。
解答:
分步列式:
450×(1-30%)=315(瓶)…………(5分)
315×80%=252(瓶)…………(5分)
答:第二天售出这种饮料252瓶。…………(1分)
综合列式:
450×(1-30%)×80%…………(8分)
=3.5×80%…………(1分)
=252(瓶)…………(1分)
答:第二天售出这种饮料252瓶。…………(1分)