1.分数的初步认识 - 精版答案
第1题

第3题
√ × √ ×
第4题

(画法不唯一)
第5题
(1)

(2)

第6题

第7题
(1)B (2)B
第8题
分析:把单位“1”平均分成2份,其中的1份可以用
表示。判断各图形中的阴影部分可不可以用
表示,关键看是不是平均分,②③④⑤⑥⑧是平均分,可以用
表示,其余的不是平均分,不可以用
表示。
解答:②③④⑤⑥⑧
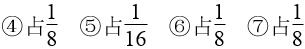
第9题
涂色部分占整个图形的:

空白部分占整个图形的:

第10题

第11题


