5.分数四则混合运算(二) - 精版答案
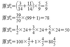
第1题

第2题

第4题

第7题
分析:
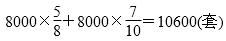
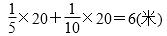
根据题意,可以先算出做20个大书信袋和20个小书信袋共用多少米布:
,再与4米进行比较。
解答:

4<6,这些布不够。…………(1分)
答:这些布不够。…………(1分)



分析:
根据题意,可以先算出做20个大书信袋和20个小书信袋共用多少米布:
,再与4米进行比较。
解答:

4<6,这些布不够。…………(1分)
答:这些布不够。…………(1分)
小学教材全练