2.一个数除以分数 - 精版答案
第1题

第2题
(1)× (2)× (3)×
(4)× (5)√(6)×
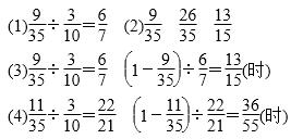
第3题

第4题
B C A D
第5题

第6题

第7题

32<35,小英平均每分钟踢得多一些。
第8题

第9题
> < =
大于 小于 等于
第10题
分析:
根据题意可知,一个数乘
等于
,这个数
。正确的结果是
。
解答:

答:正确的结果是
。
第11题


(1)× (2)× (3)×
(4)× (5)√(6)×

B C A D



32<35,小英平均每分钟踢得多一些。

> < =
大于 小于 等于
分析:
根据题意可知,一个数乘
等于
,这个数
。正确的结果是
。
解答:

答:正确的结果是
。

小学教材全练