第二章 转化法 - 第3讲 单位“1”的转化
方法概述
1.单位“1”的转化是指在解答有关分数的实际问题时,题中同时存在多个单位“1”,根据解决问题的需要,把不同的单位“1”转化成统一的单位“1”,使隐蔽的数量关系明朗化的解题方法。
2.常用的转化单位“1”的方法。
(1)画图转化。
(2)列表转化。
(3)利用不变量转化。
(4)用倍比关系转化。
(5)用条件转化法转化。
典例精讲
方法点一 画图转化单位“1”
例1 乙数是甲数的
,丙数是乙数的
,丙数是甲数的几分之几?
方法指导
可以用画格子图法理解甲数和丙数的关系。如图,把甲数看作一个整体,用长方形表示。把长方形平均分成3份,乙数占其中的2份,如图一所示。再把阴影部分平均分成5份,丙数占其中的4份,如图二所示。从图中可以看出,丙数是甲数的
。

正确解答

答:丙数是甲数的
。
例2 某工程队计划修一条长800米的水渠,第一周修了全长的
,第二周修的相当于第一周的
,第二周修了多少米?
方法指导
观察下图可以发现,第二周修的水渠长度是这条水渠全长的
,用水渠的总长800乘
即可求出第二周修的水渠长度。

正确解答

答:第二周修了160米。
方法点二 列表转化单位“1”
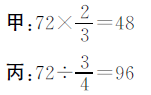
例3 甲数是乙数的
,乙数是丙数的
,甲、乙、丙三个数的和是216,甲、乙、丙三个数各是多少?
方法指导
解这道题的关键是确定谁是单位“1”,然后判断216里有几个单位“1”。
思路一 把丙数看作单位“1”。

思路二 把乙数看作单位“1”

思路三 把甲数看作单位“1”。

正确解答
解法一


解法二


解法三


答:甲数是48,乙数是72,丙数是96。
例4 已知甲校学生数是乙校学生数的
,甲校的女生数是甲校学生数的
,乙校的男生数是乙校学生数的
,那么两校女生总数占两校学生总数的几分之几?
方法指导
思路一 把乙校学生数看作单位“1”。


思路二 把甲校学生数看作单位“1”。
观察上表可知,两校的女生总数可以用
表示,两校的总人数可以用
表示,用
除以
,即可求出两校女生总数占两校学生总数的几分之几。
正确解答
解法一

解法二

答:两校女生总数占两校学生总数的
。
方法点三 利用不变量转化单位“1”
例5 有两筐橘子,乙筐橘子质量是甲筐的
,从甲筐取出5千克橘子放入乙筐后,乙筐的橘子质量是甲筐的
。甲、乙两筐橘子共重多少千克?
方法指导
根据已知条件“从甲筐取出5千克橘子放入乙筐后”,可以知道甲、乙两筐橘子的数量都发生了变化,但是甲、乙两筐橘子的总质量没有发生变化。把两筐橘子的总质量看作单位“1”,则原来甲筐里的橘子占这两筐橘子总质量的
,取出5千克橘子后,甲筐里剩下的橘子占这两筐橘子总质量的
。由此得出: 5千克橘子相当于两筐橘子总质量的
7,用5除以
就得到这两筐橘子的总质量。
正确解答

答:甲、乙两筐橘子共重80千克。
例6 某校六年级,如果增加2名男生,女生人数则是男生人数的
。如果减少3名男生,女生人数则是男生人数的
。这个学校六年级男、女生原来各有多少人?
方法指导
题中女生人数是一个不变量,把它看作单位“1”,则增加2名男生后的男生人数是女生人数的
,减少3名男生后的男生人数是女生人数的
。两种情况男生相差2+3=5(人),这5人对应的分率是
,因此这个学校六年级女生原来有
(人),则男生原来有
(人)。
正确解答

答:这个学校六年级男生原来有123人,女生原来有100人。
例7甲、乙、丙、丁四个工程队合修一条路,结果甲队修了另外三队总数的一半,乙队修了另外三队总数的
,丙队修了另外三队总数的
,丁队修了910米,这条路全长多少米?
方法指导
这条路的总长是不变的量,把这条路的全长看作单位“1”,根据“甲队修了另外三队总数的一半”可知,甲队修了这条路的
;同理,乙队修了全长的
,丙队修了全长的
。丁队修的910米是这条路总长的
,用910米除以
就可以求出这条路的全长。
正确解答

答:这条路全长4200米。
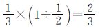
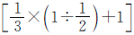
方法点四 用倍比关系转化单位“1”
例8 有120个皮球,分给两个班使用,一班分到的
与二班分到的
相等,求两个班各分到多少个皮球。
方法指导
思路一 把二班分到的皮球数看作单位“1”。
根据“一班分到的
与二班分到的
相等”可知,一班的“1”中有几个
,就有几个二班的
,这样一班分到的皮球数就相当于二班的
。两个班分到的皮球数可以用二班分到皮球数量的
来表示,用皮球总数120除以
就可以求出二班分到多少个皮球,然后求出一班分到多少个皮球。
思路二 把一班分到的皮球数看作单位“1”。
根据“一班分到的
与二班分到的
相等”可知,二班的“1”中有几个
,就有几个一班的
,这样二班分到的皮球数就相当于一班的
。两个班分到的皮球数可以用一班分到皮球数量的
来表示。用皮球总数120除以
就可以求出一班分到多少个皮球,然后求出二班分到多少个皮球。
正确解答
解法一


解法二


答:一班分到72个皮球,二班分到48个皮球。
例9 甲、乙两数相差30,其中甲数的
与乙数的
相等,求这两个数的和是多少。
方法指导
思路一 把甲数看作单位“1”。
根据“甲数的
与乙数的
相等”可知,乙数里有几个
就有几个甲数的
,即乙数是甲数的
,由此得出:两数的差30对应的是甲数的
,用甲、乙两数的差30除以
就能求出甲数,然后求出乙数。
思路二 把乙数看作单位“1”。
根据“甲数的
与乙数的
相等”可知,甲数里有几个
就有几个乙数的
,即甲数是乙数的
,由此得出:两数的差30对应的是乙数的
,用甲、乙两数的差30除以
就能求出乙数,再求甲数。
正确解答
解法一



答:甲数是300,乙数是270。
方法点五 用条件转化法转化单位“1”
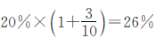
例10 某校四、五、六三个年级共有学生618人,其中五年级人数比四年级多10%,六年级人数比五年级少10%,求各年级各有学生多少人。
方法指导
把四年级人数看作单位“1”。五年级人数是四年级的1+10%=110%;六年级人数比五年级少10%,即六年级人数是五年级人数的90%,所以六年级人数是四年级人数110%的90%,即110%×90%=99%。三个年级的总人数618人相当于四年级人数的(1+110%+99%)。先用四、五、六年级的总人数618除以(1+110%+99%)即可求出四年级的人数,再分别求五、六年级的人数。
正确解答
四年级人数:618÷[1+(1+10%)+(1+10%)×(1-10%)]
=618÷309%
=200(人)
五年级人数:200×(1+10%)=220(人)
六年级人数:220×(1-10%)=198(人)
答:四年级有200人,五年级有220人,六年级有198人。
例11 服装厂一车间人数占全厂总人数的 25%,二车间人数比一车间少
,三车间人数比二车间多
,三车间是156人,这个服装厂一共有多少人?
方法指导
把全厂的人数看作单位“1”。一车间的人数占全厂人数的25%,二车间人数是全厂人数的
,三车间人数占全厂人数的
,用三车间的156人除以它占全厂人数的分率26%就可以求出服装厂的总人数。
正确解答


答:这个服装厂一共有600人。