第二章 转化法 - 第1讲 计算中的转化
方法概述
1.计算中的转化是指通过运算性质、运算定律、运算公式的运用,实现简化算式,提高运算的速度和运算的准确性。
2.计算中的转化的方法。
(1)运用运算性质、运算定律转化。
例 237+621-321+163
=(237+163)+(621-321)
=400+300
=700
(2)运用分组计算的方法转化。
例 100+99-98-97+96+95-94-93+…+4+3-2-1
=(100+99-98-97)+(96+95-94-93)+…+(4+3-2-1)
=4+4+4+…+4
=4×25
=100
(3)运用运算公式转化。
例 
典例精讲
方法点一 运用运算性质、运算定律进行转化
例1 883+(117-68)
方法指导
根据加法的运算性质,去掉算式中的括号,然后先计算883+117,再用所得的和减去68。
正确解答
883+(117-68)
=883+117-68
=1000-68
=932
例2 1300÷25
方法指导
本题可以运用商不变的性质简算。被除数和除数同时扩大4倍,除数25扩大4倍后得到一个整百数,这样原式就转化为“(1300×4)÷(25×4)”。
正确解答
1300÷25
=(1300×4)÷(25×4)
=5200÷100
=52
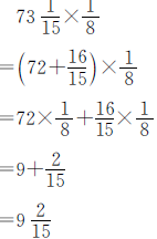
例3
方法指导
本题可以应用乘法分配律进行简算。先把
拆分成
的形式,再计算。
正确解答

例4 2×5×4×25×8×125
方法指导
根据乘法交换律和乘法结合律可以把原式进行转化。原式=(2×5)×(4×25)×(8×125)。
正确解答
2×5×4×25×8×125
=(2×5)×(4×25)×(8×125)
=10×100×1000
=1000000
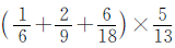
例5 
方法指导
本题可以根据乘法分配律进行转化。先把本题转化为
的形式,再计算。
正确解答

例6 99999×99999
方法指导
本题可以应用乘法分配律简算。99999接近100000,所以先把99999看作是(100000-1),然后根据乘法分配律计算。
正确解答
99999×99999
=99999×(100000-1)
=99999×100000-99999×1
=9999900000-99999
=9999800001
例7 3333×3333+3333×6667
方法指导
本题可以应用提取公因数(即乘法分配律的逆运算)的方法进行转化凑整,两个乘法算式中都有3333,根据提取公因数的方法,原式=3333×(3333+6667)。
正确解答
3333×3333+3333×6667
=3333×(3333+6667)
=3333×10000
=33330000
例8 2772÷28+34965÷35
方法指导
本题可以先凑整,再应用(A+B)÷C=A÷C+B÷C进行简算。2772可以看作是(2800-28),34965可以看作是(35000-35),原式转化为(2800-28)÷28+(35000-35)÷35,然后进行简算。
正确解答
2772÷28+34965÷35
=(2800-28)÷28+(35000-35)÷35
=2800÷28-28÷28+35000÷35-35÷35
=100-1+1000-1
=1098
例9
方法指导
被除数是1998,除数是一个带分数,且整数部分和分数部分的分子都是1998。可以把
化成假分数,再把分子转化成两个数相乘的形式,便于约分和计算。
正确解答

例10
方法指导
仔细观察分子、分母中各数的特点就会发现,分母中的被减数362×548可以化成(361+1)×548=361×548+548,同时发现548-186=362,所以分母可以化成361×548+362的形式,分子、分母完全相同,可以进行约分。
正确解答

方法点二 运用分组计算的方法转化
例11 100+99-98-97+96+95-94-93+…+4+3-2-1
方法指导
方法一 根据运算符号出现的规律分组。把原式中的100个数按照运算符号出现的规律,每4个数分为一组,每组里的结果都等于4,一共可以分成25组,这组算式的结果就是25个4的和。
方法二 此题也可以通过前后次序的交换,把两个数结合成一组,一共可以结合成50组,每组值均为2,这组算式的结果就是50个2的和。
正确解答
方法一 100+99-98-97+96+95-94-93+…+4+3-2-1
=(100+99-98-97)+(96+95-94-93)+…+(4+3-2-1)
=4+4+4+…+4
=4×25
=100
方法二 100+99-98-97+96+95-94-93+…+4+3-2-1
=(100-98)+(99-97)+(96-94)+(95-93)+…+(4-2)+(3-1)
=2×50
=100
例12 1+2+3+4+5+6+…+99+100
方法指导
观察这组算式,发现1+100=2+99=3+98=4+97=…=50+51=101 ,100个数可以分成50组,这组算式的结果就是101×50的积。
正确解答
1+2+3+4+5+6+…+99+100
=(1+100)×(100÷2)
=101×50
=5050
方法点三 运用拆项公式转化
例13 
方法指导
因为
,所以此题可以通过拆项的方法,使得其中一部分分数相互抵消,从而简化计算过程。
正确解答

例14
方法指导
观察分母可以发现该式是有序排列的,1X4,4x7,7x10……




正确解答

例15 
方法指导
算式中
,这样原式就可以转化成

,从而进行简算。
正确解答
