8.探索宇宙 - 精版答案
第1题
(1)光年 距离 解析:光年是计量天体间时空距离的单位,一般被用于衡量天体间的时空距离,其字面意思是指光在真空中沿直线传播一年的距离,约为94605亿千米,它是由时间和光速计算出来的。
(2)河外星系 解析:河外星系是指在银河系以外,由大量恒星组成,但因为距离遥远,在外表上都表现为模糊的光点,因此又被称为“河外星云”。目前人们观测到大约100亿个与银河系类似的星系。
(3)银河系 10万 解析:银河系是太阳系所在的星系(又称天河或天汉),包括1000亿~2000亿颗恒星和大量的星团、星云,还有各种类型的星际气体和星际尘埃。
(4)120亿 膨胀 解析:有关宇宙在膨胀的理论,已经被恒星的红移现象所证实。
第2题
(1)× 解析:物体的运动是相对参照物而言的。选择不同的参照物,同一物体的运动结果是不同的。如选择恒星(太阳)为参照物,就是假设恒星不动,则行星(地球)是运动的,反过来也可以选择行星为参照物,则行星是静止的,而恒星是运动的。
(2)× 解析:人们发现银河系以外还有类似银河系一样庞大的恒星集团,所以银河系不是最大的星系。
(3)√ 解析:宇宙有着浩大而有序的结构,第一级是类似太阳系一样的天体系统;第二级是由许多恒星组成的集团,如包含太阳系在内的银河系;第三级是银河系外和银河系一样大的星系集合——河外星系;最后一级是宇宙,包含已知和未知的星系。
(4)√ 解析:科学家们发现宇宙正处于膨胀之中,我们的宇宙是一个充满活力的宇宙。
第3题
河外星系 银河系 太阳系 太阳 地球
解析:宇宙包含已知星系和未知星系,星系集合包含银河系和河外星系,银河系包含太阳系,太阳系包含太阳和地球。
第4题

解析:当宇宙中星云的气体和尘埃一旦紧缩成一颗原恒星时,一颗恒星就诞生了;当恒星的燃料开始消耗殆尽时,它就会膨胀而变成巨星或超巨星;巨星和超大型巨星可能爆炸成超新星,一些由小型或中等恒星变成的红巨星,会因燃料耗尽而缩小变成白矮星;超新星又有两种变化:一种变化是质量最大的恒星遗留物会瓦解成为黑洞,另一种变化是超新星的遗留物会变成中子星;白矮星还会因为能量耗尽而变成黑矮星。
第5题
宇宙中每时每刻都有许多恒星诞生,同时也有许多恒星消亡。恒星都在不停地高速运动。有些恒星自身还有节奏地膨胀和收缩,有些恒星还不断地向外抛射物质……也正因为如此,我们的宇宙充满了活力。
解析:宇宙充满了活力,这一句话既形象地说明了宇宙的状态,也对宇宙的结构进行了补充说明,让我们不至于认为宇宙的结构是一成不变的,还对宇宙之大有了进一步的认识。
第6题
(1)C 解析:2003年10月15日北京时间9时,杨利伟乘神舟五号飞船首次进入太空,象征着中国太空事业向前迈进一大步。
(2)C 解析:2007年10月24日,我国的“嫦娥”一号探月卫星发射成功。
(3)A 解析:“火箭”的名称最早出现在距今1700多年前三国时代的古籍上。当时的兵家曾在箭杆的前部绑上油松、艾草等易燃物,把它们点燃后,用弓、弩射出去进行火攻战。随着火药的发明,箭杆上的易燃物被换成了火药,具有了更大的燃烧威力,于是被迅速地用于军事活动,虽然当时的火箭有火药燃气喷射的反作用力成份,但它飞行的动力主要还是靠弓、弩发射的力量。
(4)C 解析:爱因斯坦被公认为是继伽利略、牛顿以来最伟大的物理学家。他的很多理论为人类探索太空提供了支持,如相对论极大地改变了人类对宇宙和自然的“常识性”观念。爱因斯坦还提出了“同时的相对性”“四维时空”“弯曲空间”等全新的概念。
(5)B 解析:1986年1月28日在美国佛罗里达的卡那维拉尔角,“挑战者”号飞船在升空后发生悲剧,“挑战者”号宇航员为航天事业献出了生命。
第7题
(1)各种望远镜、人造地球卫星、载人宇宙飞船等。
(2)火箭发源地、载人航天飞船、绕月卫星等。
第8题
(1)B 解析:图1是小质量恒星的一生,一些小型或中等恒星变成的红巨星会因燃料耗尽而缩小变成白矮星,白矮星还会因为能量的耗尽而变成黑矮星。
(2)C 解析:图2是大质量恒星的一生,巨大和超大型巨星可能爆炸成超新星,超新星有两种变化:一种变化是质量最大的恒星遗留物会瓦解成为黑洞;另一变化是超新星的遗留物会变成中子星。
(3)B 解析:恒星演变过程有两种:一种是演变为超新星,最后变成黑洞或中子星;另一种是演变为白矮星,最后变成黑矮星。
(4)C 解析:宇宙中每时每刻都有许多恒星诞生,同时也有许多恒星消亡。有些恒星的质量与太阳的质量差不多,有些恒星的质量则可能是太阳质量的几千倍,有些恒星还有节奏地膨胀和收缩,有些恒星还不断地向外拋射物质。
第9题
(1)150 解析:大约在150亿年前,在宇宙大爆炸之前,所有的物质都处于高度密集的状态。
(2)A 解析:宇宙大爆炸以后,物质开始向外膨胀,就形成了今天我们看到的宇宙,现在人们用天文望远镜已观测到距我们120亿光年的宇宙空间深处,但仍没有看到宇宙的边缘,而且科学家还发现宇宙正处于不断膨胀的状态。
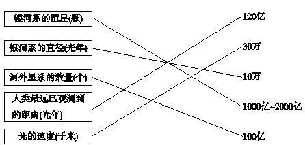
(3)

解析:宇宙非常浩大,在观星过程中,我们看到的天空中闪亮的银河光束,即银河系,实际上是由1000亿~2000亿颗恒星组成的,直径有10万光年。人们发现银河系以外还有类似银河系一样庞大的恒星集团,目前人类已经发现了超过100亿个河外星系。人们用光年来计量恒星间的距离,光年是光一年中所走的距离,光的速度是每秒30万千米。